國家標準物質定值數據的統計處理
國家標準物質定值數據的統計處理
、用**(或權威)的測量方法定值時,測*數據可按如下程序處理:
①對每個操作者的一組獨立測量結果,在技術上說明可疑值的產生并剔除后,可用格魯布斯(Grubbs)法或狄克遜(Dixo)法從統計上再次剔除可疑值。當數據比較分散或可疑值比較多時,應認真檢查側量方法、側量條件及操作過程,列出每個操作者側量結果的原始數據、平均值、標準偏差及側量次數。
②分別對兩個(或兩個以上)操作者測定數據的平均值和標準偏差進行檢驗。
③若檢驗結果沒有顯著性差異,可將兩組吸(或兩組以上)數據合并,給出總平均值和標準偏差。若檢查結果有顯著性差異,應檢查側量方法、側量條件及操作過程,并重新進行側定。若檢驗結果沒有顯著性差異,可將兩個(或多個)平均值平均求出總平均值,將兩個(或多個)標準偏差的平方和除以方法的個數。然后開方求出標準偏差。若檢驗結果有顯著性差異.應檢查測量方法、測里條件及操作過程,或者用不等精度加權方式處理。
二、用兩種以上不同原理的方法定值時,側量數據可按如下程序處理:
①對兩種(或多種)方法的側量結果分別按(1)中的①進行處理。
②對兩個(或多個)平均值和標準偏差按(1)中的②進行檢驗。
③若檢驗結果沒有顯著性差異,可將兩個(或多個)平均值平均求出總平均值,將兩個(或多個)標準偏差的平方和除以方法的個數,然后開方求出標準偏差。若檢驗結果有顯著性差異。應檢查側段方法,側盆條件及操作過程,或者用不等梢度加權方式處理。
三、多個實驗室合作定值時,側量數據可按如下程序處理:
1.對各個實驗室的測量結果分別按(1)中的①進行處理。
2.匯總全部原始數據,考察全部測量數據分布的正態(tài)性,
3.在數據服從正態(tài)分布或近似正態(tài)分布的情況下,將每個實驗室所測數據的平均值視為單次測量值,構成一組新的測量數據。用格魯布斯法或狄克遜法從統計上剔除可疑值。當數據比較分散或可疑值比較多時,應認真檢查每個實臉室所使用的測量方法、側量條件及操作過程。
四、用科克倫(Cochran)法檢查各組數據之間是否等精度。當數據等精度時,計算出總平均值和標準偏差。當數據不等精度時可以用不等精度加權方式處理。
五、當全部原始數據服從正態(tài)分布或近似正態(tài)分布時,可視其全部為一組新的側量數據,按格魯布斯法或狄克遜法剔除可疑值,再計算全部原始數據的總平均值和標準偏差。
六、當數據不服從正態(tài)分布時,應檢查測量方法并找出各實驗室可能存在的系統誤差。
與**標準物質比較定值,以氮中二軟化碳氣體標準物質為例。
若用氣相色譜法作為高精密度方法,則有:
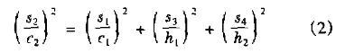
式中:c 1- **標準氣體的濃度(已知八,
h 1- **標準氣體色譜峰高吸測得八,
c 2- 二級標準氣體的濃度(待求),
h 2- 二級標準氣體色譜峰高(測得)。
假設:s 1、s 2、 s 3、 s 4分別表示c 1、c 2、h 1、h 2的標準偏差,則有:
即二級標準氣體濃度的標準偏差是由**標準氣體濃度c1和峰高h1的標準偏差及二級標準氣體峰高h 2的標準偏差合成而得到的。
七、定值不確定度的估計
特性量的測量總平均值即為該特性量的標準值。標準值的總不確定度由三部分組成:**部分是通過測*數據的標準偏差、測量次數及所要求的置信水平按統計方法計算出;**部分是通過對側量影響參數和影響函數的分析,估計出;第三部分是物質不均勻性和物質在有效期內的變動性所引起的不確定度。
八、定值結果的表示
定值結果一般表示為:標準值±總不確定度。要明確指出總不確定度的含義并指明所選擇的置信水平。總不確定度可以用標準不確定度表示,也可用擴展不確定度表示。
總不確定度一般保留一位有效數字,*多保留兩位有效數字,標準值有效數字的位數由標準值的*后一位與總不確定度相應的位數對齊來決定。



